МЕТОДИЧЕСКИЕ РАЗРАБОТКИ ПО КУРСУ ИНФОРМАТИКИ
"ПРОГРАММИРОВАНИЕ НА ЯЗЫКЕ PASCAL"
Начало
Планирование
Ссылки
Карта сайта
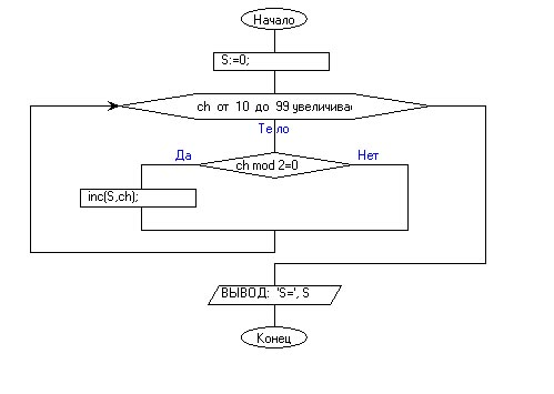
8. Найти сумму всех четных двузначных чисел.
Наверх
Copyright ©2011 Nika A.S.
e-mail
vladnika@mail.ru